Hľadaj Zobraz: Univerzity Kategórie Rozšírené vyhľadávanie

45 171
projektov

Metódy operačnej analýzy - zadanie A

«»
Prípona
.doc
Typ
výpočet
Stiahnuté
42 x
Veľkosť
0,1 MB
Jazyk
slovenský
ID projektu
1466
Posledná úprava
29.07.2015
Zobrazené
2 860 x
Autor:
mcmaliar
Facebook icon Zdieľaj na Facebooku
Detaily projektu
Popis:
Zadania z Metód operačnej analýzy a príklady na písomnu prácu zadania A

A. Určte graficky množinu bodov v rovine, ktoré vyhovujú sústave nerovnosti





Kľúčové slová:

Metódy operačnej analýzy

množina

rovnosť

sústava

riešenie

účelová funkcia

metóda

nerovnosť



Obsah:
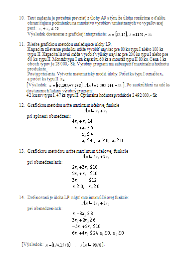
  • 14 úloh s výsledkami
O súboroch cookie na tejto stránke

Súbory cookie používame na funkčné účely, na zhromažďovanie a analýzu informácií o výkone a používaní stránky.

Nastavenia Povoliť všetko