Hľadaj Zobraz: Univerzity Kategórie Rozšírené vyhľadávanie

45 171
projektov

Matematika 2

«»
Prípona
.zip
Typ
výpočet
Stiahnuté
1 x
Veľkosť
18,8 MB
Jazyk
slovenský
ID projektu
45758
Posledná úprava
07.04.2015
Zobrazené
1 892 x
Autor:
zu.pretova
Facebook icon Zdieľaj na Facebooku
Detaily projektu
Popis:
Výpočty, zipp súbor a tabuľka sin, cos, tg, cotg potrebný na matematiku 2 Žilinská univerzita v Žiline - Zasielateľstvo a logistika, cestná doprava, prvý ročník, letný semester

Kľúčové slová:

výpočty

vzorce

matematika

matematika2

žilinská

unvierzita

zasielateľstvo

logistika

cestná

doprava

prvý

ročník

letný smester

zipp



Obsah:
  • Zipp súbor s viacerými materiálny na predmet Matematika 2
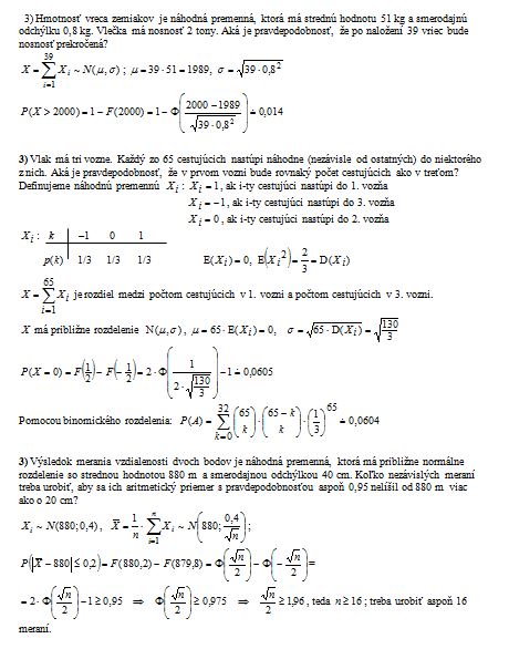
    Výpočty niektorých príkladov na Matematiku 2
O súboroch cookie na tejto stránke

Súbory cookie používame na funkčné účely, na zhromažďovanie a analýzu informácií o výkone a používaní stránky.

Nastavenia Povoliť všetko