Hľadaj Zobraz: Univerzity Kategórie Rozšírené vyhľadávanie

45 171
projektov

Poznámky z prednášok - Štatistika B

«»
Prípona
.doc
Typ
poznámky
Stiahnuté
24 x
Veľkosť
1,2 MB
Jazyk
slovenský
ID projektu
3864
Posledná úprava
14.06.2017
Zobrazené
4 307 x
Autor:
meryy
Facebook icon Zdieľaj na Facebooku
Detaily projektu
Popis:
Jednoduchá lineárna regresia

Regresná analýza - súhrn štatistických metód a postupov slúžiacich k štúdiu vzájomného vzťahov medzi dvoma (alebo viacerými) premennými, ktorých cieľom je predovšetkým odhad hodnôt závislej premennej

Vysvetľovanie (závislá premenná) - Y (yi) premenná, ktorej závislosť od iných premenných zisťujeme. Je to kvalitatívna alebo číselná premenná

Vysvetľuje (nezávislé) premenné - X (xi) premenné, o ktorých predpokladáme, že vyvolávajú zmeny závislej premennej a pomocou, ktorej odhadujeme hodnoty závislej premennej

X1, X2 ... Xk
Xi1, Xi2 ... Xik

Podľa počtu vysvetľujúcich premenných rozlišujeme:
- jednoduchú (párovú) regresiu - jedna vysvetľujúca premenná
- viacnásobnú (mnohonásobná) regresia - väčší počet vysvetľujúcich premenných

Príčinná závislosť - závislá a nezávislá premenná by mala byť vo vzťahu príčinnej závislosti, t.j. zmeny premennej X vyvolávajú zmeny premennej Y

Zdanlivá závislosť - súvislosť medzi dvoma javmi, je zdanlivá, spôsobuje ju iný jav

Deterministická závislosť - ak zmeny závislosti premennej sú úplne determinované zmenami vo vysvetľujúcich premenných

Štatisticky voľná (stochastická) závislosť - keď na závislú premennú okrem nezávislých pôsobia aj ďalšie nešpecifikované náhodné vplyvy

Kľúčové slová:

štatistika

korelačná analýza

regresná analýza

časové rady

extrapolácia

súhrnné rozdiely



Obsah:
  • Regresná a korelačná analýza
    Jednoduchý lineárny regresný model
    Metóda najmenších štvorcov
    Test zhody regresného koeficientu s konštantou
    Test zhody regresného koeficientu s konštantou 0 (test štatistickej významnosti 1)
    Test zhody regresného koeficientu 2 ZS
    Intervaly spoľahlivosti pre str. a individuálnu
    hodnotu závislej premennej
    Korelačná analýza
    Predpoklad klasického lineárneho modelu
    Typy regresných modelov
    Závislosť medzi kvalitatívnymi znakmi - asociácia
    Meranie asociácie
    Časové rady
    Mechanické vyrovnávanie ČR
    Trend model summary
    Extrapolácia trendu v ČR
    Štatistické porovnávanie
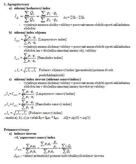
    Súhrnné indexy a súhrnné rozdiely
O súboroch cookie na tejto stránke

Súbory cookie používame na funkčné účely, na zhromažďovanie a analýzu informácií o výkone a používaní stránky.

Nastavenia Povoliť všetko