Hľadaj Zobraz: Univerzity Kategórie Rozšírené vyhľadávanie

45 171
projektov

Matematika A - ťahák

«»
Prípona
.zip
Typ
ťahák
Stiahnuté
3 x
Veľkosť
0,1 MB
Jazyk
slovenský
ID projektu
43740
Posledná úprava
27.12.2013
Zobrazené
1 973 x
Autor:
barbora
Facebook icon Zdieľaj na Facebooku
Detaily projektu
Popis:
Funkcia jednej reálnej premennej:
1. Nech A je neprázdna množina. Zobrazenie f množiny A do množiny R nazývame reálnou funkciou. Reálna funkcia je teda zobrazenie f: AR, ktoré každému prvku xA priradí jediné reálne číslo y=f(x).
2. Reálnu funkciu f: AR, AR nazývame reálnou funkciou jednej reálnej premennej.
3. Ak f: AR je funkcia, tak množína A sa nazýva definičný obor funkcie f a označuje sa znakom D(f) a množina f(A)=yR y=f(x), xA sa nazýva obor hodnôt funkcie f a označuje sa H(f).
4. Z definície ohraničenosti množiny zdola, zhora vyplýva, že funkcia f je zhora (zdola) ohraničená na množine A práve vtedy, ak existuje také reálne číslo k[h], že pre všetky xA platí: f(x)k (f(x)h). Analogicky dostaneme, že funkcia f je ohraničená na množine A, práve vtedy, ak existuje číslo K0, že platí f(x)K, pre každé xA.
5. Funkcia f je párna (nepárna) na množine AD(f), ak pre každé xA je tiež -xA a platí f(x)=f(-x) [f(-x)=-f(x)].
6. Funkciu f nazývame periodickou, ak existuje také kladné číslo p0, že platí: a) xD(f)x+pD(f), b) pre každé xD(f) je f(x+p)=f(x).
7. Funkciu f nazývame prostou na množine A, ak pre každé dva body x1, x2A, x1x2, platí f(x1)f(x2).
8. Nech funkcia f je prostá na množine AD(f). Potom inverznou funkciou f -1 definovanou na množine f(A) k funkcii f definovanej na A, nazývame predpis, podľa ktorého každému prvku xf(A) priradíme prvok yA, tak že f(y)=x. Ak A=D(f), hovoríme o inverznej funkcii k funkcii f. Zo vzťahov f(y)=x a y=f -1(x) dostávame: xf(A):f(f -1(x))=x, yA:f -1(f(y))=y.

Kľúčové slová:

limity funkcie

spojitosť funkcie

diferenciál funkcie

nevlastný integrál



Obsah:
  • Matematika A
    Matematika A - teória
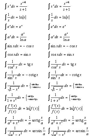
    Tabuľkové integrály
O súboroch cookie na tejto stránke

Súbory cookie používame na funkčné účely, na zhromažďovanie a analýzu informácií o výkone a používaní stránky.

Nastavenia Povoliť všetko