Hľadaj Zobraz: Univerzity Kategórie Rozšírené vyhľadávanie

45 171
projektov

Limita funkcie jednej premennej

«»
Prípona
.doc
Typ
poznámky
Stiahnuté
5 x
Veľkosť
0,6 MB
Jazyk
slovenský
ID projektu
4620
Posledná úprava
19.09.2017
Zobrazené
2 446 x
Autor:
xjurkox
Facebook icon Zdieľaj na Facebooku
Detaily projektu
Popis:
Definícia 1. Heineho definícia limity funkcie
Nech je funkcia f definovaná pre všetky z niektorého okolia bodu a. Hovoríme, že funkcia f má v bode a limitu číslo b, ak pre každú postupnosť spĺňajúcu podmienky: má odpovedajúcu postupnosť funkčných hodnôt limitu b.
Ak funkcia f v bode a má limitu rovnú b, píšeme

Kľúčové slová:

limity

funkcie

bod

rovnica

pravidlo



Obsah:
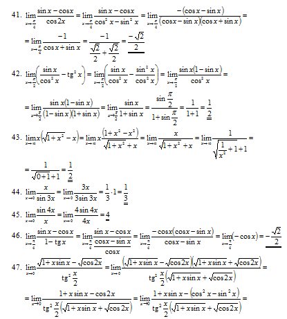
  • L`Hospitalovo pravidlo (neurčité výrazy)
    Riešené príklady
O súboroch cookie na tejto stránke

Súbory cookie používame na funkčné účely, na zhromažďovanie a analýzu informácií o výkone a používaní stránky.

Nastavenia Povoliť všetko