Hľadaj Zobraz: Univerzity Kategórie Rozšírené vyhľadávanie

45 171
projektov

Zadanie - Operačný výskum

«»
Prípona
.doc
Typ
výpočet
Stiahnuté
1 x
Veľkosť
0,1 MB
Jazyk
slovenský
ID projektu
44799
Posledná úprava
06.03.2014
Zobrazené
1 485 x
Autor:
IvanaKy
Facebook icon Zdieľaj na Facebooku
Detaily projektu
Popis:
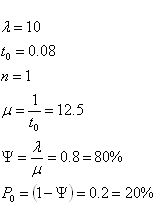
Hotel má k dispozícii jednu telefónnu linku. Recepčná prijíma objednávky na rezerváciu izieb a aprtmánov a zaznamenáva ich. Čas obslúženia zákazníka závisí od dĺžky trvania hovorov, v priemere 4min. Zákazník si potrebuje objednať izbu, pričom nevie o iných zákazníkoch, ktorí chcú v tom istom čase telefonovať. Ak sa zákazník nedovolá, pokúša sa zatelefonovať neskôr, keď sa telefónna linka uvoľní. V priemere sa za hodinu vyskytne 5 hovorov.

Kľúčové slová:

Pravdepodobnosť

relatívna kapacita

absolútna kapacita

nominálna kapacita



Obsah:
  • Jednokanálový bez čakania
    Jednokanálový s čakaním
    Viackanálový s čakaním
O súboroch cookie na tejto stránke

Súbory cookie používame na funkčné účely, na zhromažďovanie a analýzu informácií o výkone a používaní stránky.

Nastavenia Povoliť všetko