Hľadaj Zobraz: Univerzity Kategórie Rozšírené vyhľadávanie

45 171
projektov

Vypočítané domáce úlohy - Matematika

«»
Prípona
.rar
Typ
výpočet
Stiahnuté
12 x
Veľkosť
5,9 MB
Jazyk
slovenský
ID projektu
5055
Posledná úprava
10.08.2017
Zobrazené
2 492 x
Autor:
sportthing
Facebook icon Zdieľaj na Facebooku
Detaily projektu
Popis:
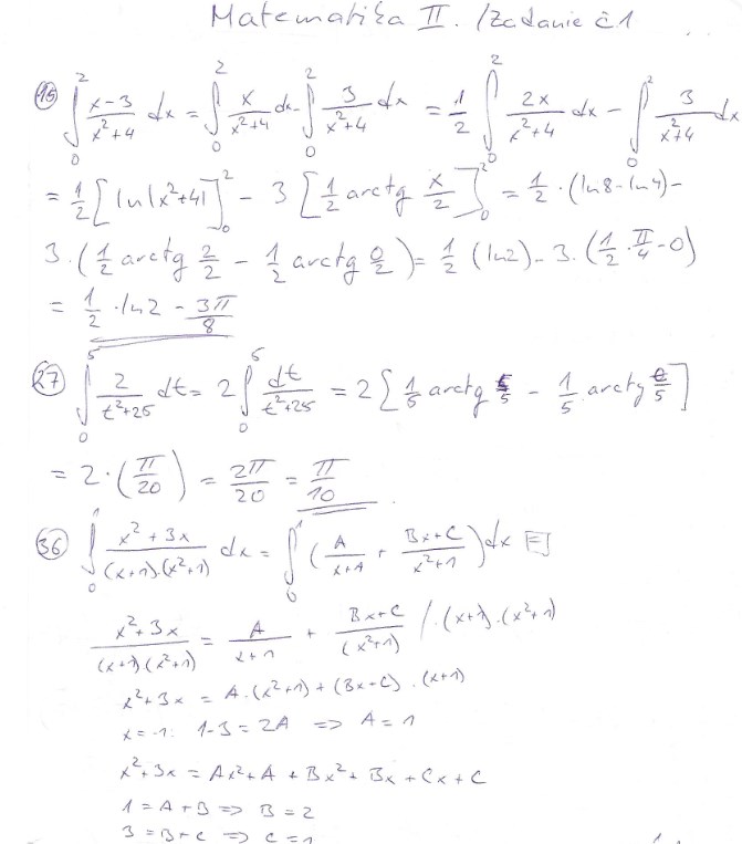
Domáce úlohy z predmetu Matematika II

Obsah zadania:
du 3\
du 4\
du 1\
du 2\

Kľúčové slová:

matematika

domáce úlohy

integrály

výpočty


O súboroch cookie na tejto stránke

Súbory cookie používame na funkčné účely, na zhromažďovanie a analýzu informácií o výkone a používaní stránky.

Nastavenia Povoliť všetko