Hľadaj Zobraz: Univerzity Kategórie Rozšírené vyhľadávanie

45 171
projektov

Časti strojov - vypracované zadanie

«»
Prípona
.doc
Typ
výpočet
Stiahnuté
3 x
Veľkosť
0,1 MB
Jazyk
slovenský
ID projektu
8900
Posledná úprava
04.05.2018
Zobrazené
1 995 x
Autor:
-
Facebook icon Zdieľaj na Facebooku
Detaily projektu
Popis:
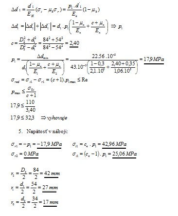
Na dutom čape oceľového hriadela je nalisované bronzové púzdro. Určte maximálny presah, ak sa čap pri prevádzke prehreje aj s púzdrom na teplotu , teplota okolia , krútiaci moment , modul pružnosti , ,Poissonova konštanta , , Koeficient lineárnej tepelnej rozťažnosti ,

Kľúčové slová:

náboj

rozmery

diagram

napätosť

charakteristika

tepelná rozťažnosť



Obsah:
  • Úloha:
    Dané:
    Pre náboj:
    Rozmerová charakteristika:
    Rozmerová charakteristika:
    Diagram napätosti:
O súboroch cookie na tejto stránke

Súbory cookie používame na funkčné účely, na zhromažďovanie a analýzu informácií o výkone a používaní stránky.

Nastavenia Povoliť všetko