Hľadaj Zobraz: Univerzity Kategórie Rozšírené vyhľadávanie

45 171
projektov

Matematika 1 (integrály vzorce)

«»
Prípona
.doc
Typ
ťahák
Stiahnuté
54 x
Veľkosť
0,1 MB
Jazyk
slovenský
ID projektu
4619
Posledná úprava
19.09.2017
Zobrazené
11 014 x
Autor:
xjurkox
Facebook icon Zdieľaj na Facebooku
Detaily projektu
Popis:
Súbor obsahuje vzorce k integrálom

Kľúčové slová:

Integrály

matematika

vzorce

určité integrály

neurčité integrály

substitúcia



Obsah:
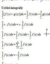
  • Určité integrály
    Neurčité integrály
O súboroch cookie na tejto stránke

Súbory cookie používame na funkčné účely, na zhromažďovanie a analýzu informácií o výkone a používaní stránky.

Nastavenia Povoliť všetko