Hľadaj Zobraz: Univerzity Kategórie Rozšírené vyhľadávanie

45 171
projektov

Meranie tiažového zrýchlenia reverzným kyvadlom

«»
Prípona
.doc
Typ
meranie
Stiahnuté
12 x
Veľkosť
0,1 MB
Jazyk
slovenský
ID projektu
21404
Posledná úprava
22.03.2009
Zobrazené
4 515 x
Autor:
lular
Facebook icon Zdieľaj na Facebooku
Detaily projektu
Popis:
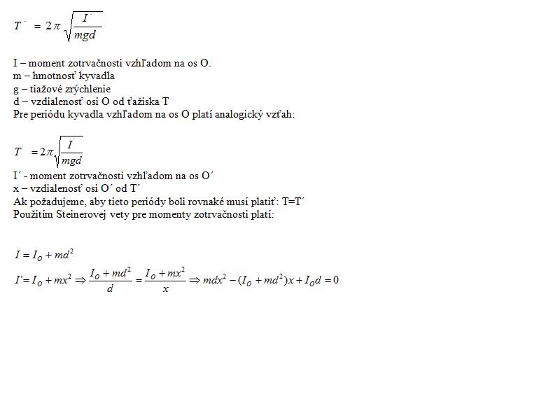
Teleso upevnené tak , že sa môže otáčať bez trenia okolo vodorovnej osi neprechádzajúcej jeho ťažiskom, nazývame fyzikálnym kyvadlom. Fyzikálne kyvadlo je v rovnováhe, keď súčet síl naň pôsobiacich je nulový. Túto polohu má teleso vtedy , keď ťažisko je v nižšej polohe a leží na zvislej priamke pretínajúcej os otáčania. Po vychýlení z rovnovážnej polohy pôsobí tiaž telesa momentom , ktorý uvádza teleso do otáčavého pohybu.

Kľúčové slová:

tiažové zrýchlenie

reverzné kyvadlo

fyzikálne kyvadlo

rovnováha

redukovaná dĺžka

os otáčania


O súboroch cookie na tejto stránke

Súbory cookie používame na funkčné účely, na zhromažďovanie a analýzu informácií o výkone a používaní stránky.

Nastavenia Povoliť všetko