Hľadaj Zobraz: Univerzity Kategórie Rozšírené vyhľadávanie

45 171
projektov

Technická mechanika 1 - zadania

«»
Prípona
.rar
Typ
výpočet
Stiahnuté
5 x
Veľkosť
9,8 MB
Jazyk
slovenský
ID projektu
32092
Posledná úprava
08.04.2026
Zobrazené
2 536 x
Autor:
bogo070
Facebook icon Zdieľaj na Facebooku
Detaily projektu
Popis:

Projekt predstavuje súbor študijných materiálov k predmetu Technická mechanika 1, zostavený ako zbierka zadaní a vypracovaných úloh. Z dostupnej štruktúry archívu je zrejmé, že materiál je organizovaný podľa číslovania jednotlivých úloh a kapitol, pričom spája zadania vo forme obrazových podkladov a samostatné dokumenty s riešeniami alebo rozpracovanými postupmi. Súbor je vhodný najmä pre študentov, ktorí sa pripravujú na priebežné zápočty, cvičenia alebo skúšku a potrebujú mať na jednom mieste prehľad úloh zoradených podľa tematických okruhov.

Obsah archívu naznačuje, že materiál pokrýva viacero častí kurzu technickej mechaniky, pričom jednotlivé úlohy sú rozdelené do blokov s označeniami 1.x až 10.x. Nachádzajú sa tu pôvodné zadania v priečinku „Radus“ a zároveň aj priečinok „Vypracované zadania“, ktorý pravdepodobne obsahuje riešené príklady, pomocné výpočty alebo hotové postupy k vybraným úlohám. Takéto usporiadanie je praktické pri samostatnom štúdiu, pretože umožňuje porovnávať zadanie s vypracovaním a precvičovať si riešenie konkrétnych príkladov podľa číslovania.

Materiál môže slúžiť ako doplnok k cvičeniam, ako podklad na opakovanie aj ako orientačný prehľad úloh, ktoré sa v rámci predmetu objavujú. Vzhľadom na to, že archív obsahuje viacero samostatných súborov a členených riešení, je vhodný aj pre študentov, ktorí si chcú vytvoriť vlastný systém prípravy podľa jednotlivých tém, zadaní alebo čísel príkladov. Výstup nižšie vychádza zo štruktúry a názvov súborov dostupných v archíve.
vypracovane zadania

obsah archivu:
mechan. pre 4\
mechan. pre 4.rar
pr. 10. 2.doc
u 1.11.doc
u 1.8 f.doc
u 2.2.doc
u 2.6.doc
u 3.28.doc
u 4.6.doc
u 6.17.doc
u 6.9.doc
u 7.12.doc
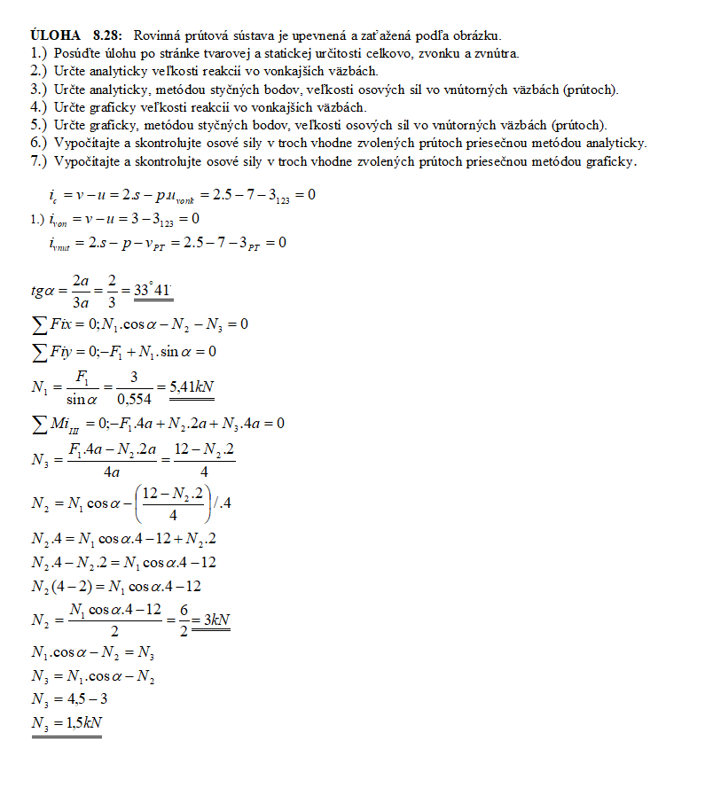
u 8. 28.doc
Uloha 2.4c.doc
ZADANIE 5.doc

Kľúčové slová:

technická mechanika

technická mechanika 1

zadania

vypracované zadania

riešené úlohy

mechanika

statika

výpočty

príklady

študijné materiály

vysokoškolské podklady

cvičenia

príprava na skúšku



Obsah:
  • Názov súboru: Radus
    1.1 (1)
    1.1 (2)
    1.3 (1)
    1.3 (2)
    1.4 (1)
    1.4 (2)
    1.5
    1.7 (1)
    1.7 (2)
    2.1
    2.2
    2.3, 2.4
    2.5
    2.6 (1)
    2.6 (2)
    2.7
    3.1
    3.2
    3.3
    3.4
    3.5
    3.6
    4.1, 4.4 (1)
    4.1, 4.4 (2)
    4.2, 4.5
    4.6
    4.7
    4.8

    Názov súboru: Vypracované zadania / mechan. pre 4
    Uloha 1_4
    Uloha 2_1d
    Uloha 3_4
    Uloha 4_1d
    Ulohy pre cislo4
    ÚLOHA 6_4
    ÚLOHA 7_4
    ÚLOHA 7_4graficke
    ÚLOHA 8_4
    ÚLOHA 9_1d
    ÚLOHA 10_4
    mechan. pre 4.rar

    Názov súboru: Vypracované zadania
    pr. 10. 2
    u 1.11
    u 1.8 f
    u 2.2
    u 2.6
    u 3.28
    u 4.6
    u 6.17
    u 6.9
    u 7.12
    u 8.28
    Uloha 2.4c
    ZADANIE 5
O súboroch cookie na tejto stránke

Súbory cookie používame na funkčné účely, na zhromažďovanie a analýzu informácií o výkone a používaní stránky.

Nastavenia Povoliť všetko