Hľadaj Zobraz: Univerzity Kategórie Rozšírené vyhľadávanie

45 171
projektov

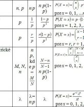
Rozdelenia diskrétnych náhodných veličín

«»
Prípona
.doc
Typ
ťahák
Stiahnuté
12 x
Veľkosť
0,2 MB
Jazyk
slovenský
ID projektu
7635
Posledná úprava
16.04.2018
Zobrazené
1 507 x
Autor:
guess
Facebook icon Zdieľaj na Facebooku
Detaily projektu
Popis:
Rozdelenia diskrétnych náhodných veličín, Rozdelenia spojitých náhodných veličín

Kľúčové slová:

spojité veličiny

rozdelenie

logaritmus

náhodné veličiny

veličiny


O súboroch cookie na tejto stránke

Súbory cookie používame na funkčné účely, na zhromažďovanie a analýzu informácií o výkone a používaní stránky.

Nastavenia Povoliť všetko