Hľadaj Zobraz: Univerzity Kategórie Rozšírené vyhľadávanie

45 171
projektov

Kmenová pasová píla

«»
Prípona
.doc
Typ
analýza
Stiahnuté
5 x
Veľkosť
0,1 MB
Jazyk
slovenský
ID projektu
15962
Posledná úprava
26.01.2009
Zobrazené
1 460 x
Autor:
vanda7777
Facebook icon Zdieľaj na Facebooku
Detaily projektu
Popis:
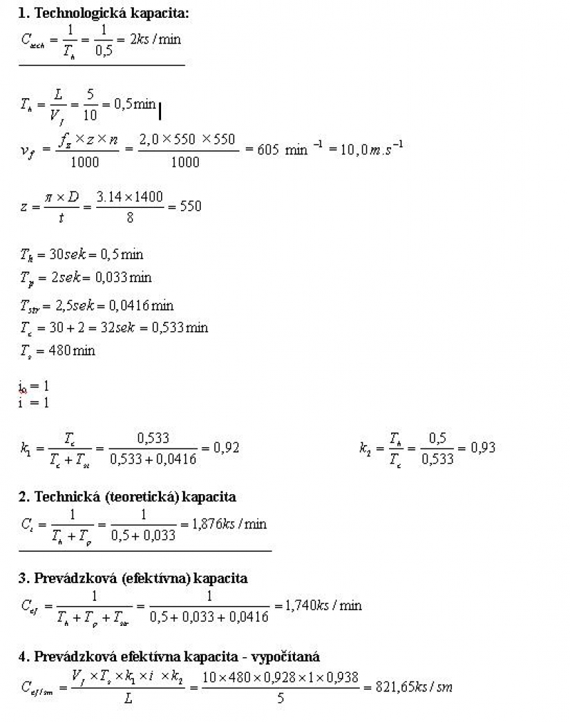
kinematická analýza
Vlastnosti rezného nastroja:
Priemer zotrvačníka – D – 1400 mm
Počet otáčok – n – 550
Posuv na zub- fz – 2,0 mm
Rezná výška – a – 400 mm
Rozostup zubov – t – 8mm

Kľúčové slová:

kmeňová pásová píla

analýza kmeňovej pásovej píli


O súboroch cookie na tejto stránke

Súbory cookie používame na funkčné účely, na zhromažďovanie a analýzu informácií o výkone a používaní stránky.

Nastavenia Povoliť všetko